为了丰富我县群众精神文化生活,同时贯彻落实上级关于组织群众文化赛事活动的文件精神,我们举办了第十九届燕赵少年读书系列活动,现精心挑选部分优秀作品进行展览。内容如下:
1、线上活动
县图书馆精选“回望灿烂燕赵”感想征文;“行走大美河北”演讲比赛两项活动优秀作品,分别在滦南县图书馆网站、公众号进行线上展览。
2、线下活动
县图书馆精选部分优秀作品,在县图书馆一楼大厅进行展览。

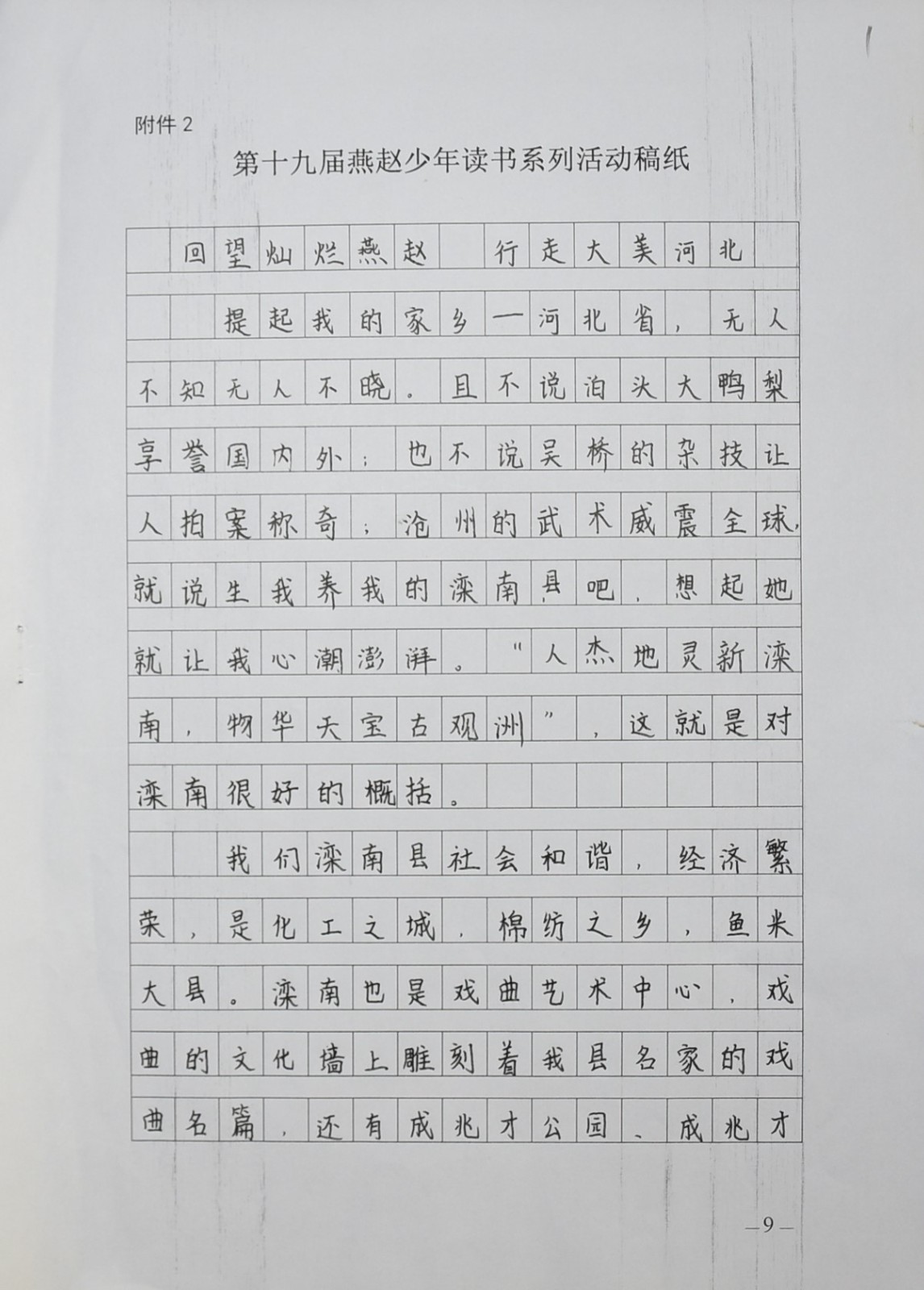
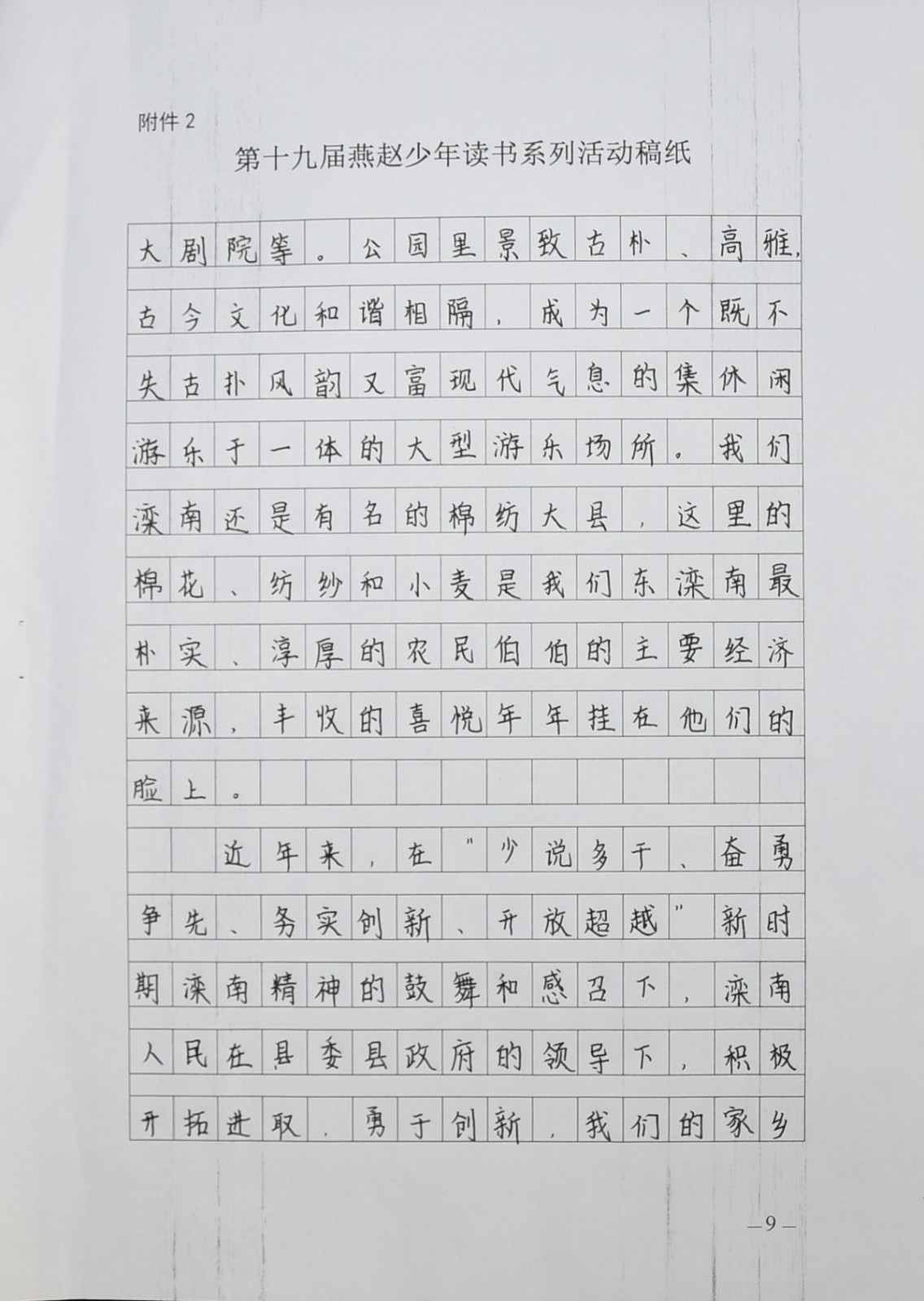
《回望灿烂燕赵 行走大美河北》
李沂菲 滦南县第四实验小学






《传承燕赵文化 实现民族复兴》
夏玉航 滦南县第四实验小学



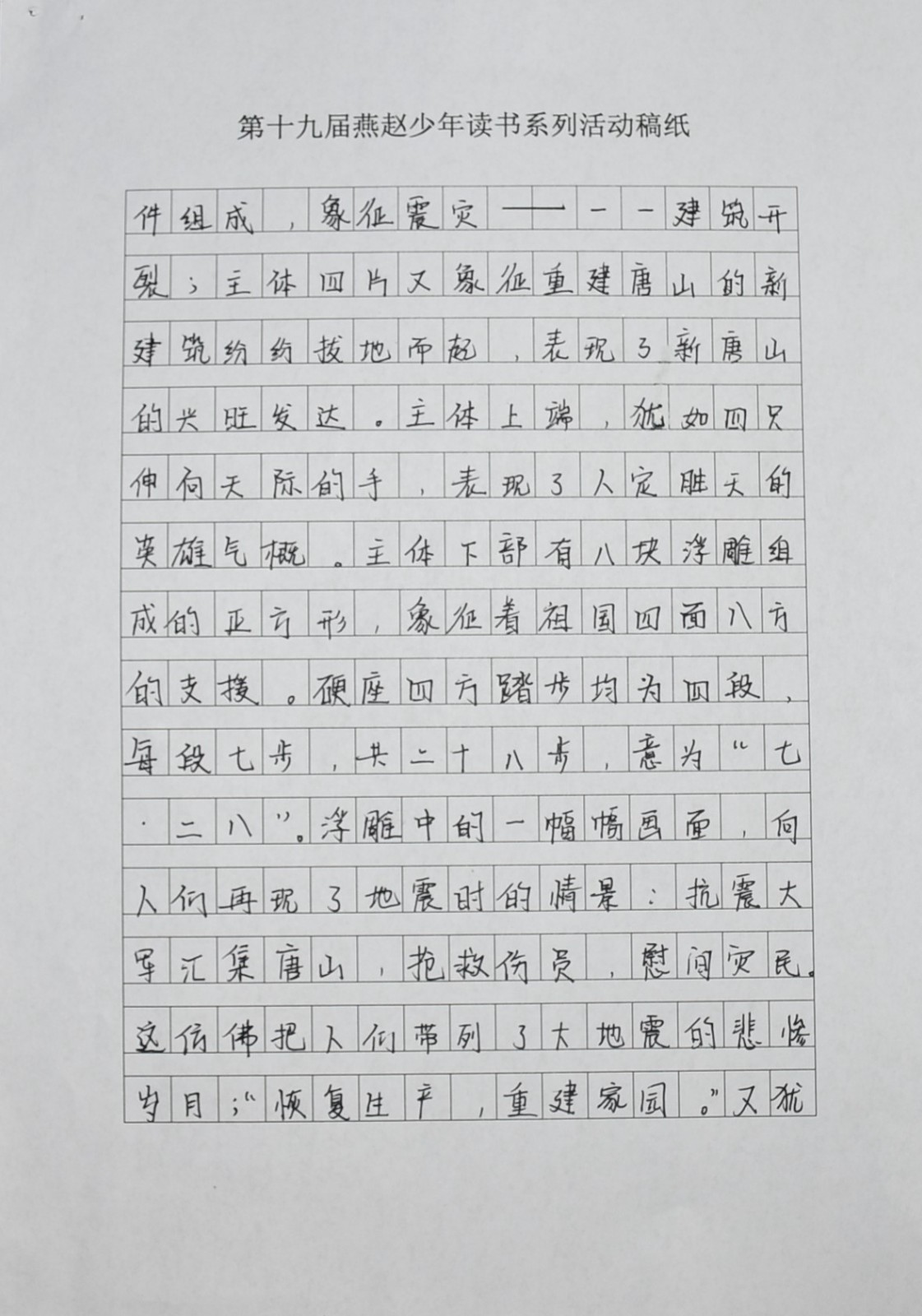
《我爱英雄唐山》
赵梓汐 滦南县第一实验小学




《我与书的故事》
桑娅珊
南堡镇南边庄子思健希望小学




《望家乡》
王紫璇 滦南县扒齿港镇初级中学




《小英雄雨来》
王雨轩 滦南县倴城初级中学


